Determining whether an artifact need to be built
sfp's build commands process the packages in the order as mentioned in your sfdx-project.json. The commands also read your dependencies property, and then when triggered, will wait till all its dependencies are resolved, before triggering the equivalent package creation command depending on the type of the package and generating an artifact in the due process
sfp's build command is equipped with a diffcheck functionality, which is enabled when one utilizes diffcheck flag, A comparison (using git diff) is made between the latest source code and the previous version of the package published by the 'publish' command. If any difference is detected in the package directory, package version or scratch org definition file (applies to unlocked packages only), then the package will be created - otherwise, it is skipped. For eg: provided the followings packages in sfdx-project.json along with its dependencies
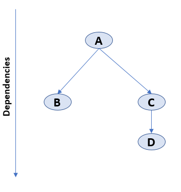
Scenario 1 : Build All

Trigger creation of artifact for package A
Once A is completed, trigger creation of artifacts for packages B & C **,**using the version of A, created in step 1
Once C is completed, trigger creation of package D
Scenario 2 : Build with diffCheck enabled on a package with no dependencies

In this scenario, where only a single package has changed and diffCheck is enabled, the build command will only trigger the creation of Package B
Scenario 3 : Build with diffCheck enabled on changes in multiple packages

In this scenario, where there are changes in multiple packages, say B & C, the build command will trigger the creation of artifacts for these packages in parallel, as their dependent package A has not changed (hence fulfilled). Please note even though there is a change in C, package D will not be triggered, unless there is an explicit version change of version number (major.minor.patch) of package D
Was this helpful?